Методика социометрического опроса
Методика социометрического опроса ребят в лагере
Для составления социограммы группы ты можешь, помимо собственных наблюдений, использовать опрос подопечных. Анализ его результатов потребует времени. Будь готов к этому! Затраченное время окупит себя. Ты можешь наглядно и доказательно оценить уровень влиятельности и популярности каждого подопечного в группе.
Раздай подопечным листы бумаги. Если есть возможность и желание, можно заранее написать или напечатать на листах вопросы, оставив достаточно места для ответа. Попроси каждого воспитанника подписать свой лист.
Объясни своим подопечным, что им предстоит участвовать в увлекательном занятии. Это своего рода игра, в которой они будут принимать самое непосредственное участие. Предупреди подопечных, что ты будешь задавать им разные вопросы об их предпочтениях ( например: с кем из товарищей по группе они хотели бы пойти в кино).
Отвечая на вопрос, каждый ребенок должен назвать двух-трех человек из группы. Он не может называть людей, не входящих в группу. На каждый вопрос должен быть дан ответ, причем подопечный обязательно должен указать два-три разных имени. При ответе нельзя писать свое имя или такие общие фразы как "все", "не имеет значения", "кто угодно" или что-то подобное. Объясни, что от полноты и честности ответов зависит достоверность результатов опроса ("игры"). Заверь подопечных, что их ответы не увидит никто, кроме тебя. Если в группе есть дети с одинаковыми именами, пусть пишут не только имя, но и фамилию.
Порядок следования имен в ответе играет важную роль, потому важно соблюдать последовательность предпочтений. Например, при ответе на вопрос: "С кем бы ты хотел пойти в кино?" Нужно назвать тех, с кем бы хотелось пойти в кино в первую очередь и во вторую очередь. Если же подопечный говорит, что пойдет в кино один, объясни ему, что нужно обязательно написать два имени, нельзя оставить вопрос без ответа. Если же ребенок говорит, что не может пойти в кино ни с кем из группы, потому что живет в другом городе, попроси его представить подобную ситуацию, немного помечтать и написать имена тех двух человек, с которыми он пошел бы в кино.
Каждый подопечный должен отвечать на вопросы самостоятельно, для этого важно рассадить их так, чтобы они не могли подглядывать в ответы друг друга. Уточни, всем ли понятны правила.
Ниже предложен произвольный образец вопросов. Ты можешь придумать по аналогии вопросы сам, но помни, что они должны быть направлены на выявление уровня (а) влиятельности и (б) популярности.
Вопросы:
- Кого бы из отряда ты взял(а) с собой на необитаемый остров? (С кем бы ты пошел в разведку?)
- С кем бы ты хотел(а) пойти в кино?
- Кого бы ты хотел увидеть на следующий год снова в своем отряде? (Кого бы ты пригласил(а) на свой день рождения?)
- С кем ты поделишься своим секретом? (Если бы у тебя был торт, кого бы ты угостил(а) первыми?)
Вопросы 1 и 4 направлены на выявление уровня влиятельности, вопросы 2 и 3 – на выявление уровня популярности.
( Хотя есть и другое мнение, что кого первого пишут люди , к тому есть позитивная симпатия, а дальше уже смотрят кому они относятся с уважением... )
На основании полученных данных составь две таблицы: "Популярность" и "Влиятельность". В левом столбце каждой таблицы напиши список группы. В правом столбце каждой таблицы отражается отношение остальных членов группы к данному воспитаннику.
| Выбор | Первых мест | Вторых мест | Количество баллов | |
|---|---|---|---|---|
| 1. Владимир | . | . | . | . |
| 2. Евгений | . | . | . | . |
| 3. Виктор | . | . | . | . |
| 4. Иван | . | . | . | . |
| 5. Павел | . | . | . | . |
| 6. Андрей | . | . | . | . |
| 7. Саша | . | . | . | . |
Теперь перенеси результаты с опросных листов в таблицу. Ответы на вопросы 1 и 4 вноси в таблицу "Влиятельность", а на вопросы 2 и 3 - в таблицу "Популярность". Каждый ответ вписывай в таблицу рядом с именем выбранного воспитанника, поставив номер его места по данному вопросу (1 или 2). Например: при ответе на первый вопрос Владимир выбрал(1) Ивана и (2) Евгения, в таблице "Влиятельность" напротив имени "Иван" нужно поставить "1", а напротив имени "Евгений" нужно поставить "2".
Внеся все результаты в таблицу, подсчитай количество первых и вторых мест, занятых каждым подопечным.
Подсчитай сумму баллов, набранных каждым подопечным. За каждое первое место дается 2 балла, за второе – 1 балл. По сумме баллов ты сможешь определить степень популярности и влиятельности каждого подопечного.
Рисуя круги влиятельности подопечных для социограммы, ты можешь придерживаться следующего масштаба: 2 балла соответствует 1 см. Например, если воспитанник получил в таблице "Влиятельность" 6 баллов, ты обводишь его имя в круг, диаметр которого равен 3 см, а если воспитанник получил 9 баллов, то диаметр круга составляет 4,5 см.
Располагая круги подопечных на социограмме в зависимости от их популярности, ты можешь использовать следующий метод. Для определения расстояния каждого круга от центра (в сантиметрах) раздели число 50 на количество баллов. Например, если подопечный получил в таблице "Популярность" 12 баллов, то расстояние его круга от центра составляет 50:12=4,2 см, если подопечный получил 4 балла – 50:4=12,5 см.
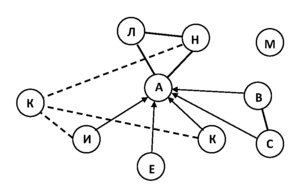
Социограмма группы (Социограмма-мишень) представляет собой четыре концентрические окружности, в которых располагаются круги всех ребят. В первый круг (центральный) помещают тех, кто набрал в таблице Популярность наибольшее количество баллов ("лидеры"), во второй круг – "предпочитаемых" (имеющих среднее количество баллов), в третий – "пренебрегаемых" (количество баллов меньше среднего), в четвертый – "изолированных" (наименьшее количество баллов). Взаимный выбор обозначают сплошной линией между двумя соответствующими кругами, не взаимный – сплошной линией со стрелкой ( от того, кто выбирал, к тому, кого он выбирал).
Анализ полученных результатов
Твоя задача состоит не только в том, чтобы сделать правильные выводы, но и в том, чтобы найти способы решения выявленных проблем, предотвращения возможных конфликтов и улучшения климата в группе.
Внимательно изучи пример, описанный ниже.
Возможные ответы подопечных (на вопросы, предложенные выше)
Владимир:
- А) Иван; Б) Евгений;
- А) Иван; Б) Андрей;
- А) Евгений; Б) Андрей;
- А) Андрей; Б) Иван;
Евгений:
- А) Виктор; Б) Владимир;
- А) Андрей; Б) Саша;
- А) Виктор; Б) Саша;
- А) Виктор; Б) Иван;
Виктор:
- А) Владимир; Б) Евгений;
- А) Евгений; Б) Иван;
- А) Андрей; Б) Павел;
- А) Андрей; Б) Владимир;
Иван:
- А) Евгений; Б) Павел;
- А) Павел; Б) Андрей;
- А) Андрей; Б) Саша;
- А) Саша; Б) Павел;
Павел:
- А) Владимир; Б) Иван;
- А) Владимир; Б) Евгений;
- А) Иван; Б) Евгений;
- А) Владимир; Б) Андрей;
Андрей:
- А) Виктор; Б) Владимир;
- А) Евгений; Б) Владимир;
- А) Виктор; Б) Иван;
- А) Павел; Б) Саша;
Саша:
- А) Евгений; Б) Виктор;
- А) Павел; Б) Иван;
- А) Иван; Б) Андрей;
- А) Евгений; Б) Павел;
Таблица "Влиятельность" (вопросы 1 и 4)
| Выбор | Первых мест | Вторых мест | Количество баллов | |
|---|---|---|---|---|
| 1. Владимир | 2 2 1 1 1 2 | 3 | 3 | 9 |
| 2. Евгений | 2 2 1 1 1 | 3 | 2 | 8 |
| 3. Виктор | 1 1 1 2 | 3 | 1 | 7 |
| 4. Иван | 2 1 2 2 | 1 | 3 | 5 |
| 5. Павел | 2 2 1 2 | 1 | 3 | 5 |
| 6. Андрей | 1 1 2 | 2 | 1 | 5 |
| 7. Саша | 1 2 | 1 | 1 | 3 |
Таблица Популярность (вопросы 1 и 4)
| Выбор | Первых мест | Вторых мест | Количество баллов | |
|---|---|---|---|---|
| 1. Владимир | 1 2 | 1 | 1 | 3 |
| 2. Евгений | 1 1 2 2 1 | 3 | 2 | 8 |
| 3. Виктор | 1 1 | 2 | 0 | 4 |
| 4. Иван | 1 2 1 2 2 1 | 3 | 3 | 9 |
| 5. Павел | 2 1 1 | 2 | 1 | 5 |
| 6. Андрей | 2 2 1 1 1 2 2 | 3 | 4 | 10 |
| 7. Саша | 2 2 2 | 0 | 3 | 3 |
При составлении ребятами списка для социограммы можно задавать также сопутствующие вопросы, например вопрос, на который ребята должны будут написать - с кем у них ассоциируется вожатый (сказочный персонаж, растение, животное и т.д.) и т.д...
Как правило, распределение предпочтений в группах достаточно стандартно: в группе из 30 человек в «звезды» попадает не более трех-четырех, в «предпочитаемые» и «принятые» - по 10-12. В «изолированных» может оказаться до пяти человек, а «отверженные» встречаются не в каждой группе.
Хотелось бы акцентировать внимание на том, что все данные, полученные с помощью социометрии, носят относительный характер: они показывают распределение влияния, отношений и популярности внутри данной группы. Поэтому все характеристики - «лидер», «предпочитаемый», «принятый», «изолированный», «отверженный» - имеют смысл только по отношению к данной группе. В своей группе (формальной или неформальной) подопечный может занимать иную позицию, иногда диаметрально противоположную. «Звезда» мальчиков в может оказаться «изолированным» в группе девочек, а в группе любителей футбола - «предпочитаемым» и т. п. «Звезд» или «отверженных» вообще, вне определенной группы - не бывает.
Социометрия дает возможность определить не только лидеров, как положительных, так и отрицательных, но и управлять коллективом ребят с учетом полученной информации. Социометрия интересна и сама по себе как тест и ее результаты можно принимать как должное, а можно с фильтром на социально-желаемый результат... тогда получается более реальная картинка взаимоотношений в отряде или в любом другом коллективе. После полученных результатов начинаешь думать о том, что и как сделать лучше... а это сложно...



